• 0232. 3827333 - 0232. 3896 333
  • daugiatruongha@gmail.com
daugiatruongha.vndaugiatruongha.vndaugiatruongha.vn
  • Trang chủ
  • Giới thiệu
    • Thư ngỏ
    • Hồ sơ năng lực
  • Thông báo đấu giá
    • Bất động sản
    • Động sản
    • Ô tô - Xe máy
  • Hướng dẫn thủ tục
    • Quy chế đấu giá
    • Quy trình bán đấu giá
    • Thủ tục bán đấu giá
  • Liên hệ

Thông báo đấu giá

  • Bất động sản
  • Động sản
  • Ôtô - Xe máy
Bất động sản
07 Tháng 10 2025
Lượt xem: 104

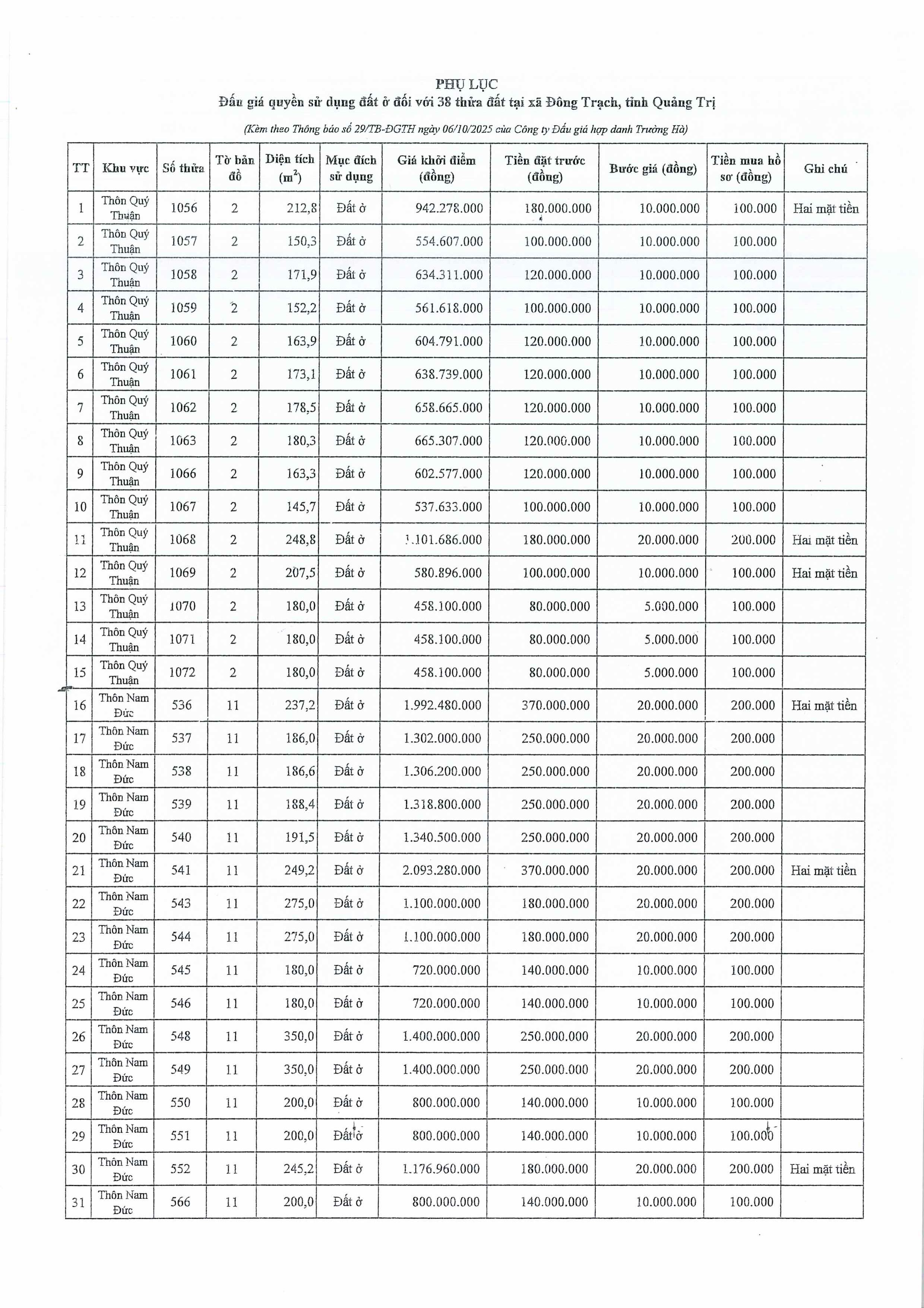
THÔNG BÁO ĐẤU GIÁ QUYỀN SỬ DỤNG ĐẤT ĐỐI VỚI 38 THỬA ĐẤT TẠI XÃ ĐÔNG TRẠCH, TỈNH QUẢNG TRỊ

?THÔNG BÁO ĐẤU GIÁ QUYỀN SỬ DỤNG ĐẤT ĐỐI VỚI 38 THỬA ĐẤT TẠI XÃ ĐÔNG TRẠCH, TỈNH QUẢNG TRỊ

 

? Bán hồ sơ và tiếp nhận hồ sơ tham gia đấu giá:

- Thời gian: Từ 07 giờ 30 phút, ngày 06/10/2025 đến 16 giờ 30 phút, ngày 21/10/2025.

- Địa điểm: tại trụ sở Công ty đấu giá hợp danh Trường Hà, địa chỉ: số 52 Mai Thúc Loan, phường Đồng Hới, tỉnh Quảng Trị.

- Ngoài ra để tạo điều kiện thuận lợi cho người dân, Công ty sẽ tổ chức bán và tiếp nhận hồ sơ đăng ký tham gia đấu giá tại trụ sở Ban quản lý dự án Đầu tư xây dựng và Phát triển quỹ đất Bố Trạch, địa chỉ: xã Hoàn Lão, tỉnh Quảng Trị, trong thời hạn 03 ngày làm việc liên tục từ ngày 17/10/2025 đến ngày 21/10/2025.

 

? Thu tiền đặt trước:

Liên tục từ 07 giờ 30 phút, ngày 06/10/2025 đến 16 giờ 30 phút, ngày 21/10/2025 vào tài khoản của Công ty đấu giá hợp danh Trường Hà.

- Tài khoản số: 299555999, mở tại Ngân hàng TMCP Quân Đội (MBbank);

- Tài khoản số: 0311000735986, mở tại Ngân hàng TMCP Ngoại thương Việt Nam (Vietcombank).

Số tiền đặt trước phải báo có trong tài khoản số: 299555999 và 0311000735986 trước 16 giờ 30 phút, ngày 21/10/2025 nếu báo có sau 16 giờ 30 phút, ngày 21/10/2025 sẽ không được ghi nhận, hồ sơ đó không hợp lệ, không đủ điều kiện tham gia đấu giá.

 

? Tổ chức phiên đấu giá:

- Thời gian: Vào lúc 08 giờ 30 phút, ngày 24/10/2025.

- Địa điểm: Tại hội trường trụ sở UBND xã Đông Trạch, địa chỉ: xã Đông Trạch, tỉnh Quảng Trị.

 

Mọi chi tiết xin liên hệ:

CÔNG TY ĐẤU GIÁ HỢP DANH TRƯỜNG HÀ

- Địa chỉ:  Số 52 Mai Thúc Loan, phường Đồng Hới, tỉnh Quảng Trị

- SĐT: (0232) 3896 333; Ms Hà: 0826 828 235

Thông báo Phụ lục hình ảnh 0

Thông báo Phụ lục hình ảnh 1

Thông báo Phụ lục hình ảnh 2

Thông báo Phụ lục hình ảnh 3

2
1

3

 

  • Trang trước
  • Trang sau
Design by:congtyf5.com
  • Trang chủ
  • Giới thiệu
    • Thư ngỏ
    • Hồ sơ năng lực
  • Thông báo đấu giá
    • Bất động sản
    • Động sản
    • Ô tô - Xe máy
  • Hướng dẫn thủ tục
    • Quy chế đấu giá
    • Quy trình bán đấu giá
    • Thủ tục bán đấu giá
  • Liên hệ